链表相关算法
注意
- 链表的使用中可以设置一个虚拟头结点,这样原链表的所有节点就都可以按照统一的方式进行移除了
- 链表的使用要注意使用p=p->next;因为p为nullptr时,p->next会造成内存溢出
- 注意移除链表元素后删除元素,回收空间
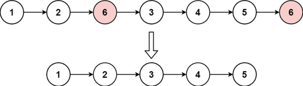
203.移除链表元素
给你一个链表的头节点 head 和一个整数 val ,请你删除链表中所有满足 Node.val == val 的节点,并返回 新的头节点 。
示例 1:
输入:head = [1,2,6,3,4,5,6], val = 6
输出:[1,2,3,4,5]
示例 2:
输入:head = [], val = 1
输出:[]
示例 3:
输入:head = [7,7,7,7], val = 7
输出:[]
1 | /** |
206. 反转链表
给你单链表的头节点 head ,请你反转链表,并返回反转后的链表。
示例 1:
输入:head = [1,2,3,4,5]
输出:[5,4,3,2,1]
示例 2:输入:head = [1,2]
输出:[2,1]
示例 3:输入:head = []
输出:[]
虚拟头节点
遍历整个链表,基于头插法的思想重新构建链表
1 | ListNode *reverseList(ListNode *head) |
双指针法
利用双指针,遍历修改,例如 原本节点的关系为 pre->cur 双指针修改为 pre<-cur
1 | ListNode *reverseList(ListNode *head) |
24. 两两交换链表中的节点
给你一个链表,两两交换其中相邻的节点,并返回交换后链表的头节点。你必须在不修改节点内部的值的情况下完成本题(即,只能进行节点交换)。
示例 1:
输入:head = [1,2,3,4]
输出:[2,1,4,3]
示例 2:输入:head = []
输出:[]
示例 3:输入:head = [1]
输出:[1]
1 | ListNode *swapPairs(ListNode *head) |
19.删除链表的倒数第N个节点
给你一个链表,删除链表的倒数第
n个结点,并且返回链表的头结点。进阶:一次扫描实现
示例 1:
输入:head = [1,2,3,4,5], n = 2
输出:[1,2,3,5]
示例 2:输入:head = [1], n = 1
输出:[]
示例 3:输入:head = [1,2], n = 1
输出:[1]
双指针
思路:要求删除第n个节点,那么设置快慢两个指针,二者相差为n+1,同时遍历,当快指针遍历完时,慢指针即为倒数第n-1个节点
1 | ListNode *removeNthFromEnd(ListNode *head, int n) |
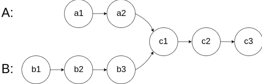
面试题 02.07. 链表相交
给你两个单链表的头节点 headA 和 headB ,请你找出并返回两个单链表相交的起始节点。如果两个链表没有交点,返回 null 。
图示两个链表在节点 c1 开始相交:
题目数据 保证 整个链式结构中不存在环。
注意,函数返回结果后,链表必须 保持其原始结构 。
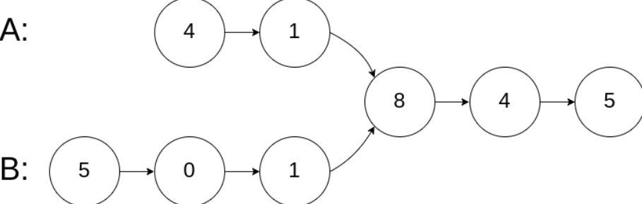
示例 1:
输入:intersectVal = 8, listA = [4,1,8,4,5], listB = [5,0,1,8,4,5], skipA = 2, skipB = 3
输出:Intersected at ‘8’
解释:相交节点的值为 8 (注意,如果两个链表相交则不能为 0)。
从各自的表头开始算起,链表 A 为 [4,1,8,4,5],链表 B 为 [5,0,1,8,4,5]。
在 A 中,相交节点前有 2 个节点;在 B 中,相交节点前有 3 个节点。
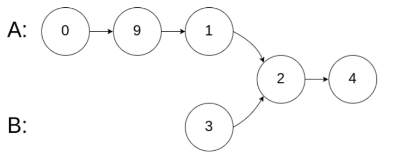
示例 2:输入:intersectVal = 2, listA = [0,9,1,2,4], listB = [3,2,4], skipA = 3, skipB = 1
输出:Intersected at ‘2’
解释:相交节点的值为 2 (注意,如果两个链表相交则不能为 0)。
从各自的表头开始算起,链表 A 为 [0,9,1,2,4],链表 B 为 [3,2,4]。
在 A 中,相交节点前有 3 个节点;在 B 中,相交节点前有 1 个节点。
示例 3:输入:intersectVal = 0, listA = [2,6,4], listB = [1,5], skipA = 3, skipB = 2
输出:null
解释:从各自的表头开始算起,链表 A 为 [2,6,4],链表 B 为 [1,5]。
由于这两个链表不相交,所以 intersectVal 必须为 0,而 skipA 和 skipB 可以是任意值。
这两个链表不相交,因此返回 null 。
思路
可以计算出两个链表的长度,然后每个链表都有一个对应的指针,使指向的节点到链表末尾的链表长度相等
1 | ListNode *getIntersectionNode(ListNode *headA, ListNode *headB) |
142.环形链表 Ⅱ
给定一个链表的头节点 head ,返回链表开始入环的第一个节点。 如果链表无环,则返回 null。
如果链表中有某个节点,可以通过连续跟踪 next 指针再次到达,则链表中存在环。 为了表示给定链表中的环,评测系统内部使用整数 pos 来表示链表尾连接到链表中的位置(索引从 0 开始)。如果 pos 是 -1,则在该链表中没有环。注意:pos 不作为参数进行传递,仅仅是为了标识链表的实际情况。
不允许修改 链表。
示例 1:
输入:head = [3,2,0,-4], pos = 1
输出:返回索引为 1 的链表节点
解释:链表中有一个环,其尾部连接到第二个节点。
示例 2:输入:head = [1,2], pos = 0
输出:返回索引为 0 的链表节点
解释:链表中有一个环,其尾部连接到第一个节点。
示例 3:输入:head = [1], pos = -1
输出:返回 null
解释:链表中没有环。
思路
如果链表存在环,那么设定一个每次行走2个节点的fast指针,一个每次行走1个节点的slow指针,这两个指针速度相差1,那么指针一定会在循环链表中相遇(操场跑步的时候,时间一直走,速度快的人一定会和速度慢的人相遇(套圈))
根据推导,我们可以看出如果重新设定一个从head节点出发的指针,一个从fast和slow节点相遇的结点出发的指针,两个指针的移动速度相同,他们一定会在环的入口处相遇
1 | ListNode *detectCycle(ListNode *head) |








